Aberta temporada de compras para o Natal. E quem gosta de economizar lê essa matéria que traz o resultado da pesquisa de preços dos principais produtos natalinos.
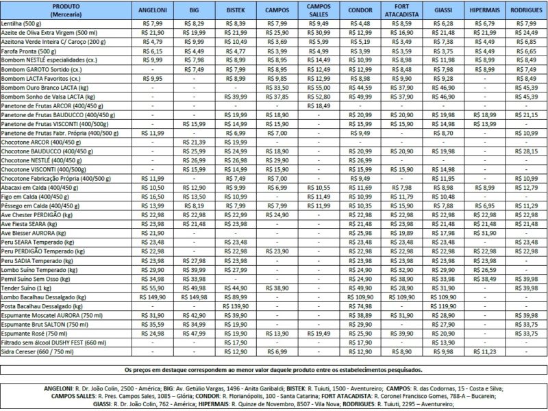
Foram pesquisados pelo Procon de Joinville 37 itens como panetone, chocotone, pernil, chester, tender e espumante, em dez supermercados de Joinville. A pesquisa foi divulgada nesta sexta-feira, dia 17.
Procon de Joinville divulgou pesquisa de preço de produtos natalinos – Foto: Secom/Prefeitura de Joinville/Divulgação NDO produto com maior diferença de preço é o espumante rosé, que chega a 245,3% de diferença entre os estabelecimentos. A lista é composta pela azeitona verde inteira com caroço (200,6%); azeite de oliva extra virgem (138,6%) e pêssego em calda (128,8%).
Seguir
Para muitas famílias, a lentilha é item presente principalmente na ceia de Ano Novo. O pacote com 500 gramas pode ser encontrado com preço variando entre R$ 4,48 e R$ 9,49. Já o panetone de frutas, considerando as diferentes marcas, é encontrado entre R$ 6,99 e R$ 21,15.
A lista completa de produtos e preços pode ser conferida no site da Prefeitura de Joinville ou pelo link (bit.ly/PesquisaItensNatal). A tabela aponta os endereços e marcas dos itens pesquisados.