CPI barrada e rombo de quase R$ 1 milhão: entenda polêmica compra de livros em Canoinhas

Auditoria apontou superfaturamento e irregularidades na entrega de livros em convênio entre o Estado e o município

Juliane Guerreiro Joinville

Receba as principais notícias no WhatsApp

Após a condenação de um ex-prefeito e a prisão de outro por crimes contra a administração pública, mais uma denúncia movimenta o Planalto Norte de Santa Catarina neste ano, desta vez em Canoinhas.

Na cidade de pouco mais de 54 mil habitantes, a polêmica está ligada à compra de livros didáticos em um convênio celebrado entre o município e a hoje extinta ADR (Agência de Desenvolvimento Regional) em 2017.

Isso porque a CGE (Controladoria-Geral do Estado) atestou indícios de irregularidade na compra, como superfaturamento e diferenças entre o número de livros comprados e entregues às escolas.

Faça como milhões de leitores informados: siga o ND Mais no Google. Seguir
CGE apontou irregularidades na compra de livros didáticos em Canoinhas – Foto ilustrativa: PixabayCGE apontou irregularidades na compra de livros didáticos em Canoinhas – Foto ilustrativa: Pixabay

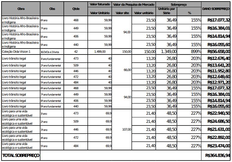
De acordo com informação divulgada pela CGE em outubro de 2020, o convênio, com valor total de R$ 2,3 milhões, tem ocorrências de sobrepreço, isto é, de compras acima do valor praticado no mercado.

O órgão comparou os preços de compra aos valores dos produtos nos sites das editoras e elencou 19 obras que apresentam sobrepreço em relação ao valor unitário e que teriam gerado um dano de pouco mais de R$ 364 mil aos cofres públicos.

Entre as obras, se destaca uma coleção composta por livros e DVDs que, na compra, teve custo de R$ 1.499, mas que, segundo a CGE, foi encontrada por R$ 150 na internet, o que representa um sobrepreço de 899%.

CGE apurou superfaturamento em compra de livros didáticos em Canoinhas – Foto: Reprodução/CGECGE apurou superfaturamento em compra de livros didáticos em Canoinhas – Foto: Reprodução/CGE

Mas além do sobrepreço, a CGE também constatou que vários livros comprados não foram entregues, com base em auditoria feita junto às escolas de Canoinhas.

Conforme o órgão, o dano aos cofres públicos referente à diferença entre livros comprados e entregues chega a R$ 603 mil, segundo levantamento de livros e de coleções disponíveis nas escolas em comparação ao preço de compra de cada um.

O livro “Que droga é essa droga: perigos visíveis e invisíveis”, por exemplo, é um dos citados. A compra foi de 4.768 unidades, mas apenas 2.991 foram declaradas pelas escolas, gerando dano de quase R$ 71 mil.

Segundo a CGE, há diferença entre o número de livros comprados e entregues – Foto: Reprodução/CGESegundo a CGE, há diferença entre o número de livros comprados e entregues – Foto: Reprodução/CGE

A CGE informou que a certificação de entrega dos produtos foi assinada pelo secretário de Educação à época – que hoje é vereador no município – o que gerou desconfiança uma vez que, para o órgão, é improvável que o titular da pasta tenha feito a conferência.

À CGE, o ex-secretário afirmou “que o recebimento foi atestado na nota fiscal sem a conferência pelo mesmo, em razão de confiança nos servidores”. De acordo com o órgão, ao calcular o dano ao erário, ainda foram descontados os casos em que a diferença entre os livros comprados e entregues era menor que 100 unidades.

Por fim, a CGE recomendou o encaminhamento dos indícios de irregularidade à SED (Secretaria de Estado da Educação) e à Procuradoria-Geral.

Como desdobramento, uma Tomada de Contas Especial (procedimento que apura os fatos, quantifica os danos e identifica os responsáveis) foi instaurada pela SED, com certificado de auditoria emitido pela CGE. Agora, o Tribunal de Contas do Estado analisa o caso.

CPI para investigar a compra foi rejeitada na Câmara

Embora a CGE tenha comunicado os indícios de irregularidade ainda no ano passado, foi há poucos dias que a polêmica acabou ganhando proporção na cidade catarinense.

A vereadora Tatiane Carvalho (MDB) explica que os atuais vereadores foram inteirados da situação neste ano, embora um ex-vereador do mandato anterior já tivesse feito requerimentos ao município a respeito da compra de livros.

“Nós recebemos com cautela, analisamos e começamos a investigar mais a fundo. Depois de meses olhando requerimentos e outras denúncias, decidimos pela instauração de uma CPI para poder escutar os envolvidos e averiguar a questão”, fala.

Câmara de Vereadores rejeitou abertura de CPI para investigar compra de livros – Foto: InternetCâmara de Vereadores rejeitou abertura de CPI para investigar compra de livros – Foto: Internet

A abertura da CPI (Comissão Parlamentar de Inquérito) para apurar as irregularidades foi discutida em sessão na noite de terça-feira (14) em meio à polêmica sobre a própria votação.

Segundo o regimento interno, é necessário 1/3 dos votos para a criação de uma CPI. Porém, a lei orgânica do município prevê tanto esse formato quanto a votação por maioria absoluta.

O placar teve quatro votos favoráveis e seis contrários à abertura, com governistas defendendo a maioria absoluta e opositores alegando o resultado de acordo com o 1/3. Por fim, a CPI foi considerada rejeitada e a oposição, agora, pretende buscar alternativas na Justiça.

O que diz a prefeitura de Canoinhas

Em nota, a prefeitura de Canoinhas informou que a diferença entre os preços apurada pela CGE diz respeito a variações nas obras e à desvalorização dos materiais. Confira na íntegra:

“Nossos alunos, desde 2017-2018, estão usando o material didático – fato amplamente noticiado pela imprensa local e pelo governo do município.

O material foi comprado por meio de processo licitatório, pois o governo de Canoinhas preza pela boa utilização dos recursos públicos com lisura e eficiência. Os processos licitatórios são acompanhados pelos órgãos de fiscalização como Ministério Público, Tribunal de Contas e pela própria Câmara de Vereadores.

Todas as dúvidas da Controladoria-Geral do Estado estão sendo esclarecidas pelo município. Ressaltamos, inclusive, que a própria CGE afasta do prefeito a responsabilidade pela compra do material didático.

Muitos livros compunham kits com estante, baús, quebra-cabeça, tapete interativo para estimular a criatividade e a comunicação dos alunos. As diferenças de valores devem-se, em sua maioria, a estes acessórios que compunham os kits, e também pela desvalorização natural do material (há títulos que na época eram lançamento, por exemplo).

O governo do município de Canoinhas preza pela qualidade do material que os alunos usam oferecendo livros com qualidade igual ou superior aos da iniciativa privada. Parte dos livros foi distribuída aos alunos – as chamadas obras consumíveis (livros que eram para preenchimento individual de cada estudante e para uso em casa, individual).

Entendemos que os livros são elementos de construção do conhecimento que contribuem para a formação dos alunos e apoiam os professores na aplicação de seus conteúdos e é por isso que o governo do município adquiriu o material.

Prefeito Beto Passos reitera a sua confiança na equipe da Secretaria de Educação que é preocupada em fazer o melhor pela comunidade escolar. Graças aos profissionais que trabalham com muito amor e dedicação e aos investimentos realizados, a educação de Canoinhas é de qualidade e exemplo para Santa Catarina e para o Brasil”.

O que diz o ex-secretário de Educação de Canoinhas

Em nota semelhante à da prefeitura, o atual vereador Osmar Oleskovicz (PSD), que era secretário de Educação à época da compra dos livros, também se manifestou sobre o assunto, defendendo a regularidade do ato. Na Câmara, ele foi contrário à abertura da CPI. Veja na íntegra:

“O material didático foi recebido e autenticado por comissões da Secretaria Municipal de Educação e da Secretaria de Estado da Educação. Os alunos desde 2017-2018 estão usando o material – fato amplamente noticiado pela imprensa local e pelo governo do município.

O material foi comprado por meio de processo licitatório, pois prezamos pela boa utilização dos recursos públicos com lisura e eficiência. Está tudo certo e não há irregularidades. Estamos com a consciência tranquila.

Os processos licitatórios são acompanhados pelos órgãos de fiscalização como Ministério Público, Tribunal de Contas e pela própria Câmara de Vereadores. Agora que a Controladoria-Geral do Estado nos deu a oportunidade de nos manifestarmos, todas as dúvidas serão esclarecidas.

O processo de licitação e pagamento foi realizado pela Secretaria de Administração. Coube à Secretaria de Educação a escolha do material e distribuição às 40 unidades educacionais. Como já mencionou a prefeitura, muitos livros compunham kits com estante, baús, quebra-cabeça, tapete interativo para estimular a criatividade e a comunicação dos alunos.

As diferenças de valores devem-se, em sua maioria, a estes acessórios que compunham os kits, e também pela desvalorização natural do material (há títulos que na época eram lançamento, por exemplo). Parte dos livros foi distribuída aos alunos – as chamadas obras consumíveis (livros que eram para preenchimento individual de cada estudante e para uso em casa, individual. E livros cuja destinação era exclusiva para às famílias).

Ressalto a credibilidade na equipe que estava comigo na época. Foram mais de 50 mil exemplares adquiridos e todo o processo realizado há várias mãos por mim e pelos colegas da Secretaria Municipal de Educação e da Secretaria de Estado da Educação”.

O que diz a Secretaria de Estado da Educação

A SED informou que o convênio entre a extinta ADR e o município de Canoinhas está em fase interna de diligências, sob sigilo, seguindo instrução normativa da CGE e a LGPD (Lei Geral de Proteção de Dados Pessoais).

Tópicos relacionados